NGF/EGF signaling through Erk

Cartoon of the model

cartoon.png

Automatically generated illustration of implementation

auto.png

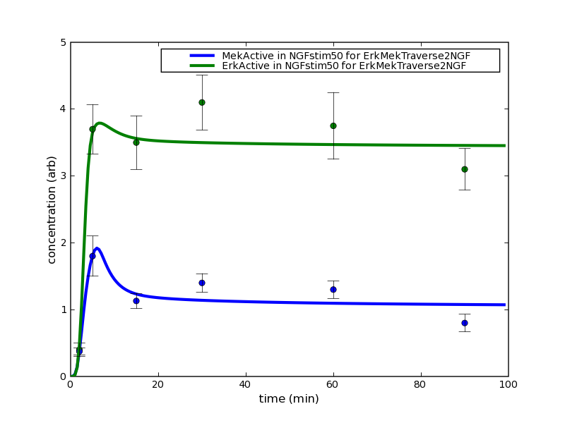
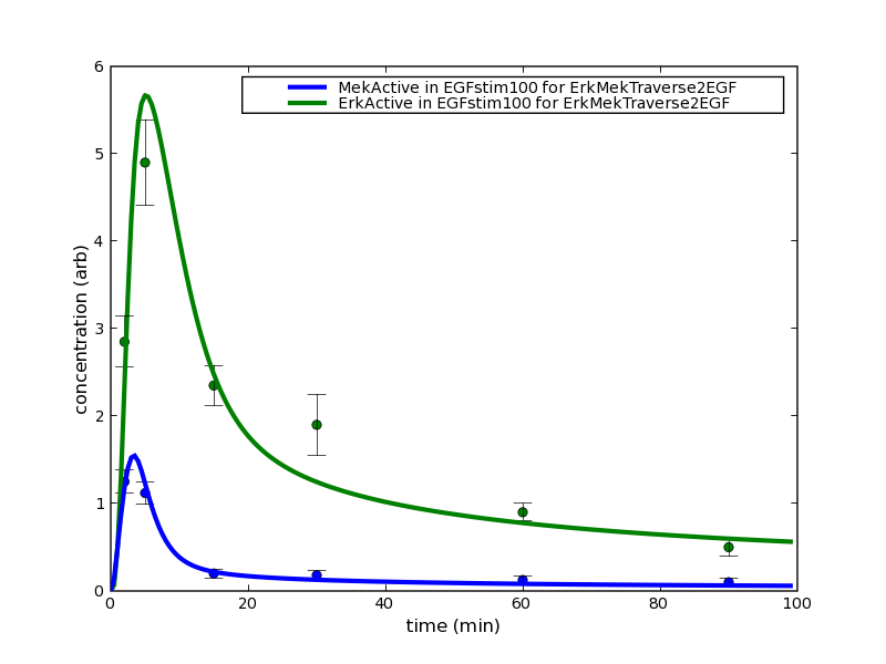
Current Best Fit to Data

Erk1HYaoEGF.expt.png
Erk1HYaoNGF.expt.png
ErkMekTraverse2EGF.expt.png
ErkMekTraverse2NGF.expt.png
ErkMekTraverseHERover.expt.png
Raf1BrafLandrethNGF.expt.png
Raf1LandrethEGF.expt.png
Rap1YorkNGF.expt.png
RasGreen1EGF.expt.png
RasGreen1NGF.expt.png

Statistical Mechanics: Entropy, Order Parameters, and Complexity, now available at Oxford University Press (USA, Europe).